-
Optimal Binary Search Tree대학/알고리즘 2023. 4. 23. 17:18
- BST

이런 트리 형태의 자료구조.
Tree - Binary Search Tree
Binary Tree 중, 아래의 조건을 만족하는 Tree이다. 1. 루트노드의 왼쪽 서브트리의 노드는 루트노드보다 작거나 같아야 한다. 2. 루트노드의 오른쪽 서브트리의 노드는 루트노드보다 커야한다. BST로
with611.tistory.com
- 알고리즘 정의
데이터를 효율적으로 관리하기 위해 BST를 사용하는데,
BST의 경우에도 문제가 하나 있다. 바로 데이터 입력 순서에 따라서 트리의 모양이 달라진다는 것.
이게 왜 문제인가 라는 의문이 있을 수 있는데, 바로 이 때문에 탐색 시간의 차이가 생길 수 있기 때문이다.
필연적으로 데이터 중에서 특별히 많이 검색되는 데이터가 있을 것이고, 그렇지 않은 데이터도 있을 것이다.
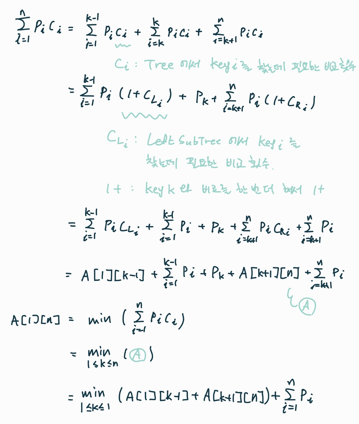
데이터(key) i가 검색될 확률을 pi라 하고, 그 데이터를 찾기까지의 비교 횟수를 ci라 하자.
keyi의 평균 검색 시간은 다음과 같다.

위 값을 최저로 줄이는 것이 BST의 평균 탐색 시간을 줄일 수 있게 해주는데,
이 값이 최소가 되는 BST를 Optimal BST라고 한다.
Optimal BST를 일반적으로 구하면 최소 ^n 형태의 시간 복잡도를 갖게 된다.
따라서 Dynamic Programming 방식으로 구해야만 한다.
dp 방식으로 알고리즘을 구현하기 위해 몇가지 규칙을 만들자.
Optimal BST는 반드시 아래의 트리 모양 중 하나를 갖게 된다.

단, 반드시 key1 ~ keyn은 오름 차순이다.
- A[i][j]: keyi ~ keyj 까지의 데이터를 BST에 저장하는데 있어
평균 검색 시간이 최소가 되도록 저장할 때, (최소) 평균 검색 시간을 저장. - A[i][i]: keyi 의 데이터만 BST에 저장하는 경우이기 때문에
평균 검색 시간은 pi가 된다.
이제 일반적인 상황으로 keyk가 root에 있는 경우를 살펴보자.

이 경우 최소 평균 탐색 시간 A[1][n]은 아래와 같이 나타낼 수 있다.

따라서 아래와 같은 관계식을 얻을 수 있다.

반드시 i < j 여야 한다. 그렇기에 [i][i-1]과 같은 BST는 없기 때문에 0으로 초기화가 된다. 2, 3번째 관계식을 통해 A배열을 초기화 하자.

목표는 A[1][n]을 얻는 것.
따라서 아래와 같은 순서로 대각선 방향으로 값을 채워나가면 된다.

- Pseudocode
// global: Key[] public static float optSearchTree (int n, float[] p, index[][] R) { index i, j, k, diagonal; float[][] A = new float[1..n+1][0..n]; for (i=1; i<=n; i++) { A[i][i-1] = 0; A[i][i] = p[i]; R[i][i-1] = 0; R[i][i] = i; } A[n+1][n] = 0; R[n+1][n] = 0; for (diagonal=1; diagonal <= n-1; diagonal++) for (i=1; i<= n-diagonal; i++) { j = i + diagonal; // min은 내부적으로 k가 i~j 까지의 loop를 돌아야 함. // sum은 내부적으로 m이 1~j 까지의 loop를 돌아야 함. A[i][j] = min(A[i][k-1] + A[k+1][j]) + sum(p[m]); // A[i][j]가 결정되는 k값. 즉, 최소가 되게 하는 k값 R[i][j] = k; } return A[1][n]; } // Building Optimal BST using R(the result of optSearchTree) // Initial Call: root = bst(1, n); public static nodeType bst (index i, index j) { index k; nodeType p; k = R[i][j]; if (k==0) return NULL; p = new nodeType(); p.key = Key[k]; p.left = bst(i, k-1); p.right = bst(k+1, j); return p; }알고리즘 설명대로 진행된다.
Key[]는 node의 key 값이 정렬된 상태로 들어있다.
n은 BST의 node의 갯수,
p는 Key에서 각각의 key의 사용 빈도(확률)
R은 최적의 Key값의 인덱스를 저장할 배열이다.
배열 A, R를 초기화 한 후diagonal을 따라 값을 업데이트한다.
A[i][j]를 업데이트 하는 방식을 시각화 하면 다음과 같다.

같은 색깔인 부분의 합은 A[i][k-1] + A[k+1][j] + sum(p[m]) 가 된다.
e.g. diagonal=n-1 -> i=1, j=n
k=1(i), A[1][0] + A[2][n] + sum(p[m])
k=2 , A[1][1] + A[3][n] + sum(p[m])
...
k=n(j), A[1][n-1] + A[n+1][n] + sum(p[m])그 합이 최소가 되는 값을 min 함수로 알아내 A[i][j]에 넣는 것이다.
bst에서는 구한 R 배열을 이용해 Optimal BST를 만들게 되는데,
R[i][j]에는 keyi ~ keyj를 BST에 배열할 때 root에 들어갈 key의 인덱스를 갖고있다.
그렇기에 p.key의 값을 Key[k]로 가져오고
subTree를 k번째 인덱스를 제외하고 재귀 호출하여 생성하면 된다.
- Time complexity
Basic Operation: min 함수 내부의 k loop 반복 횟수
Input Size: n, sizeof Key
* Every case:
Within k-loop: j-i+1 = diagonal+1 times
Within i-loop: (n-diagonal)(diagonal+1) times
Within diagonal-loop: sum((n-diagonal)(diagonal+1)) (diagoanl: 1~n-1) times
=> T(n) = n(n-1)(n+4)/6 [Θ(n^3)]
'대학 > 알고리즘' 카테고리의 다른 글
Prim's Algorithm (0) 2023.06.09 Traveling SalesPerson Problem (Dynamic Programming) (0) 2023.04.23 Floyd Algorithm (0) 2023.04.23 Binomial Coefficient (이항 계수) (0) 2023.04.23 Tips for Divide and Conquer (0) 2023.04.22 - A[i][j]: keyi ~ keyj 까지의 데이터를 BST에 저장하는데 있어