-
Traveling SalesPerson Problem (Dynamic Programming)대학/알고리즘 2023. 4. 23. 20:44
- 알고리즘 정의
주어진 Graph의 모든 노드를 한 번씩 방문하여 출발했던 노드로 돌아오는 방법 중,
가장 최단 시간으로 걸리는 경로를 찾는 문제이다.
일명 TSP 알고리즘이다.

위 예시에서는 v1 - v3 - v4 - v2 - v1로 방문하면 최단 시간이 걸린다.
참고로 출발점은 임의로 잡아도 상관 없다.
왜냐하면 모든 노드를 한 번씩 방문하기 때문에 반드시 특정 노드를 어느 순간 지나기 때문이다.
다만, 이해와 구현의 편의성을 위해 v1을 시점이자 종점으로 삼자.

최적의 경로는 위 경로 중 하나의 경우다.
v1 - v2 를 지나 최적 경로 A를 지나 v1로 돌아오거나,
v1 - v3 를 지나 최적 경로 A를 지나 v1로 돌아오거나, ...,
v1 - vn 를 지나 최적 경로 A를 지나 v1로 돌아오거나.
위의 방식대로 알고리즘을 설계하기 위해 다음과 같은 규칙을 만들자.
- V: {v1, v2, ..., vn}, 모든 vertices의 집합
- A: V의 부분집합
- W[i][j]: vi -> vj의 length(weight)
- D[vi][A]: vi 에서 A의 모든 vertices를 지나 v1로 돌아오는 최단 경로의 길이
- D[vi][∅]: vi 에서 아무런 vertex를 지나지 않고 v1로 돌아오는 최단 경로의 길이
즉, W[i][1]
최종적으로 구하고자 하는 값인 D[v1][V-{v1}]은 v1 - vj 순서로 먼저 시작한다고 하면
min(W[1][j] + D[vj][V-{v1, vj}]) (j: 2~n)로 구할 수 있다.
이를 일반화하여 D[vi][A] = min(W[i][j] + D[vj][A-{vj}]) (vj: A의 원소)라는 관계를 얻을 수 있다.
위에서 직관적으로 최단경로를 구한 예시를 이번엔 위 수식을 이용해서 구해보자.
Case sizeof A = 0:

Case sizeof A = 1:

Case sizeof A = 2:



Case sizeof A = 3 (Goal)

- Pseudocode
// global: V (vertices) public static number tsp (int n, number[][] W, index[][] P) { index i, j, k; number[][] D = new number[1..n][subset of V-{v1}]; // 0개의 노드를 통과해 v1로 가는 경로의 최단거리 for (i=2; i<=n; i++) D[i][∅] = W[i][1]; // 1~n-2개의 노드를 통과해 v1로 가는 경로의 최단거리 for (k=1; k<=n-2; k++) // k개의 원소를 가진 모든 V-{v1}의 부분집합 A에 대해 for (all subsets A of V-{v1} containing k nodes) // vi는 v1, A의 원소이면 안 된다. for (i such that i!=1 && vi is not in A) { // j는 A의 원소 vj의 V에 대한 인덱스 (min은 sizeof A의 loop를 돈다) D[i][A] = min(W[i][j] + D[j][A-{vj}]); // 최소가 되게 하는 vj의 인덱스 P[i][A] = j; } // n-1개의 노드를 통과해 v1로 가는 경로의 최단거리 // (min은 n-2의 loop를 돈다) D[1][V-{v1}] = min(W[1][j] + D[j][V-{v1, vj}]); P[1][V-{v1}] = j; return D[1][V-{v1}]; }알고리즘 설명대로 진행된다.
V는 vertices들이 들어있는 전역 배열
n은 V의 노드(vertex)의 갯수
W는 weight(길이) 테이블
P는 최단 경로를 저장할 배열이다.
결과적으로 D[vi][A]에는 vi에서 출발해 A의 vertices를 지나 v1로 도달하는데 까지 최단 거리가 저장되고,
P[vi][A]에는 vi에서 출발해 A의 vertices를 지나 v1로 도달하는데 최단 거리가 되기 위해
vi 다음으로 지나야 할 A의 원소인 vertex의 인덱스를 저장하게 된다.
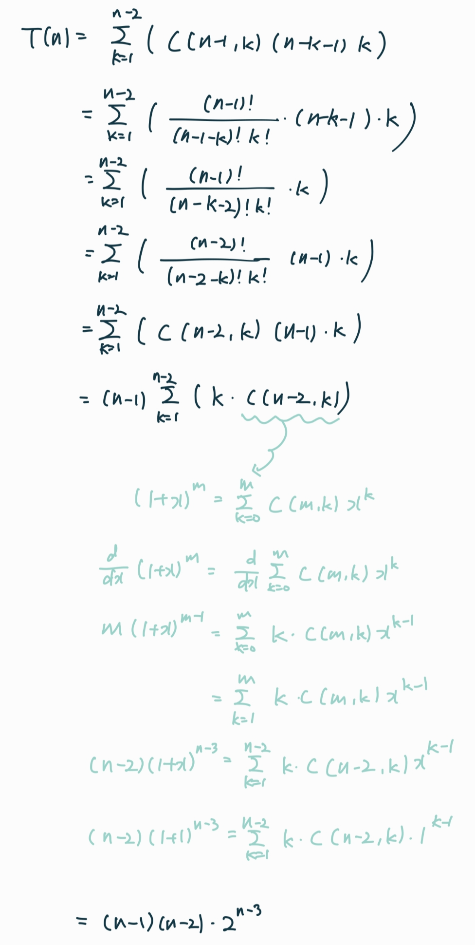
- Time complexity
Basic Operation: min 함수 내부의 j(vj) loop 반복 횟수
Input Size: n, number of vertices
* Every case:
Within min-loop: sizeof A = k times
Within i-loop: (n - sizeof A - 1(for v1))k = (n-k-1)k times
Within A-loop: (number of subset A)(n-k-1)k = C(n-1, k)(n-k-1)k times

[Θ(n^2*2^n)]
'대학 > 알고리즘' 카테고리의 다른 글
Kruskal's Algoritm (0) 2023.06.09 Prim's Algorithm (0) 2023.06.09 Optimal Binary Search Tree (0) 2023.04.23 Floyd Algorithm (0) 2023.04.23 Binomial Coefficient (이항 계수) (0) 2023.04.23