-
Fibonacci Sequence대학/알고리즘 2023. 4. 22. 19:39
- 정의

이전 두 항의 합이 다음항이 되는 수열이다.
- Pseudocode
// Iterative way public static int IterFib (int n) { index i; int[] f = new int[n+1]; if (n <= 0) return 0; f[0] = 0; f[1] = 1; for (i = 2; i <= n; i++) { f[i] = f[i-1] + f[i-2]; } return f[n]; }피보나치 수열을 구하는 알고리즘이다.
구하고자 하는 항의 값을 이전항들의 합으로 구하고 저장하는 식으로 반복한다.
n번째 항까지 반복하고 나면 n번째 인덱스에 해당하는 값을 반환한다.
// Recursive way public static int RecuFib (int n) { if (n <= 1) return n; return RecuFib(n-1) + RecuFib(n-2); }재귀적으로 피보나치 수열을 구하는 알고리즘이다.
식은 간단하나, 함수가 과도하게 많이 호출되는 문제가 있다.
- Time complexity (Iterative)
Basic Operation: f[i] = f[i-1] + f[i-2];
Input Size: n (n>1)
* Every case: T(n) = n - 1 [Θ(n)]
- Time complexity (Recursive)
Basic Operation: return of RecuFiv
Input Size: n
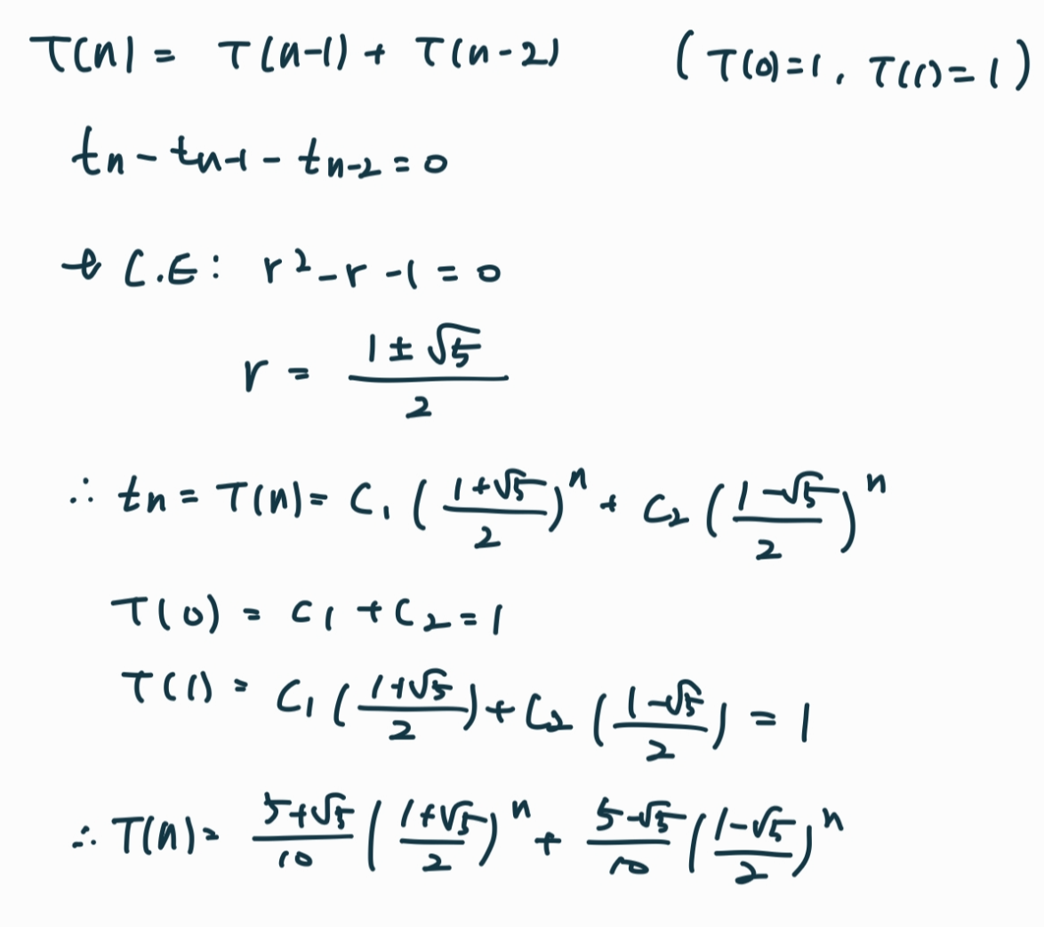
* Every case:

[Θ(((1+sqrt(5)) / 2)^n)]
~= [Θ(1.6180^n)]
'대학 > 알고리즘' 카테고리의 다른 글
Quick Sort (0) 2023.04.22 Merge Sort (0) 2023.04.22 Binary Search Algorithm (0) 2023.04.22 Sequential Search Algorithm (0) 2023.04.19 Solving Recurrence Relation (0) 2023.04.19